ФотабусАўтобусны транспарт

Iнфармацыя аб малюнку

334 КБ


Ідэнтыфікатар малюнка:1372732
Памер файла:334 КБ
Аўтар:Streletz
Апублікавана:24.06.2015 23:02 MSK
Знаходзіцца на сайце, дзён:3949
Унікальных праглядаў:458
Каментарыяў:0

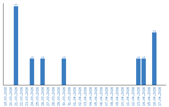
Дынаміка праглядаў па датах