ФотобусАвтобусный транспорт

Информация об изображении

258 КБ


Идентификатор изображения:1372042
Размер файла:258 КБ
Автор:авиксел
Опубликовано:23.06.2015 11:41 MSK
Находится на сайте, дней:3858
Уникальных просмотров:384
Комментариев:1

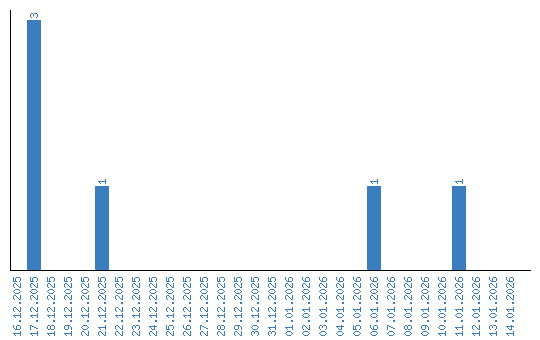
Динамика просмотров по датам