ФотобусАвтобусний транспорт

Статистика по зображенню

391 КБ


Ідентифікатор зображення:1353527
Розмір файлу:391 КБ
Автор:Кузнецов Григорий
Опубліковано:26.05.2015 22:53 MSK
Знаходиться на сайті, днів:3800
Унікальних переглядів:388
Коментарів:0

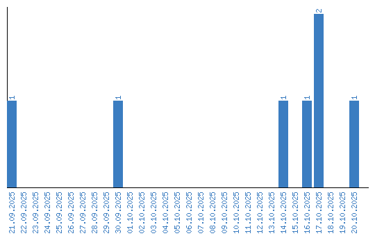
Динаміка переглядів за датами