FotobusBusverkehr

Bildinformationen

337 KB


Foto-ID:1347650
Dateigröße:337 KB
Aufgenommen von:9122_DA
Veröffentlicht am:16.05.2015 00:51 MSK
Tage seit Veröffentlichung:3970
Aufrufe:330
Kommentare:0

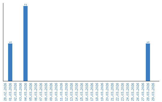
Aufrufestatistik (Tage)