ФотобусАвтобусный транспорт

Информация об изображении

283 КБ


Идентификатор изображения:1344845
Размер файла:283 КБ
Автор:Student
Опубликовано:13.05.2015 18:09 MSK
Находится на сайте, дней:4014
Уникальных просмотров:200
Комментариев:0

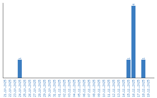
Динамика просмотров по датам