ФотобусАвтобусный транспорт

Информация об изображении

338 КБ


Идентификатор изображения:1341563
Размер файла:338 КБ
Автор:DimonS
Опубликовано:10.05.2015 19:23 MSK
Находится на сайте, дней:3937
Уникальных просмотров:308
Комментариев:0

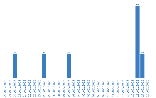
Динамика просмотров по датам