ФотобусАвтобусный транспорт

Информация об изображении

250 КБ


Идентификатор изображения:1323875
Размер файла:250 КБ
Автор:kosmos
Опубликовано:11.04.2015 19:00 MSK
Находится на сайте, дней:4046
Уникальных просмотров:429
Комментариев:1

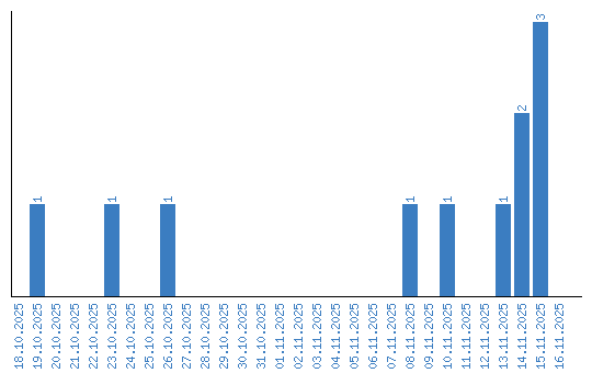
Динамика просмотров по датам