ФотабусАўтобусны транспарт

Iнфармацыя аб малюнку

238 КБ


Ідэнтыфікатар малюнка:1306880
Памер файла:238 КБ
Аўтар:monochrome
Апублікавана:11.03.2015 11:10 MSK
Знаходзіцца на сайце, дзён:3864
Унікальных праглядаў:234
Каментарыяў:0

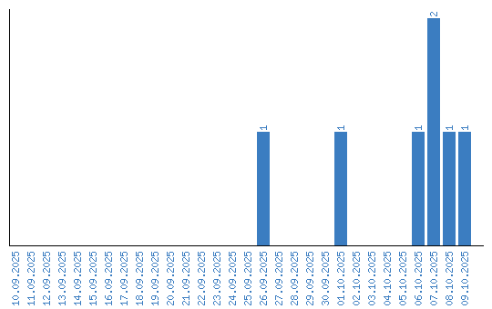
Дынаміка праглядаў па датах