Adatbázis
Típusok
Országok és régiók
Egyéb információk
Hírek és üzemtörténet
Vegyes galériák
Linkek
Kommentek
Frissítések
Új fotók
Hírek
Dátum szerinti frissítések
Súgó
Felhasználási feltételek
Képek publikálási feltételei
Kép feliratozási szabályok
Visszautasítás okai
Fórumok
Keresés
Képek keresése
Járművek keresése
Kommentek keresése
Felhasználók keresése
Bejelentkezés
Regisztráció!
Magyar
Русский
Беларуская
Українська
Қазақ тілі
Polski
Čeština
English
Español
Deutsch
Lietuvių
Latviešu
Magyar
Ελληνικά
Buszfotók és járműlisták
Képadatok
Képazonosítő:
1303510
Kép mérete:
347 KB
Készítette:
Alex25
Publikálás napja:
03.03.2015 08:34 MSK
Hány napja látható:
3881
Megtekintések:
447
Kommentek:
0
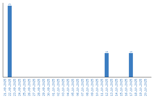
Naponkénti megtekintések
Kezdőlap
Fórumok
Felhasználási feltételek
© Fotobus szerkesztők és fotósok, 2007—2025
A honlapon szereplő képek felhasználása a szerzők hozzájárulása nélkül tilos!.