FotobusAutobusų transportas

Nuotraukos informacija

209 KB


Nuotraukos identifikatorius:1299863
Bylos dydis:209 KB
Autorius:JenCh012
Publikuota:23.02.2015 14:29 MSK
Yra tinklapyje dienų:4053
Unikalių peržiūrų:202
Komentarų:0

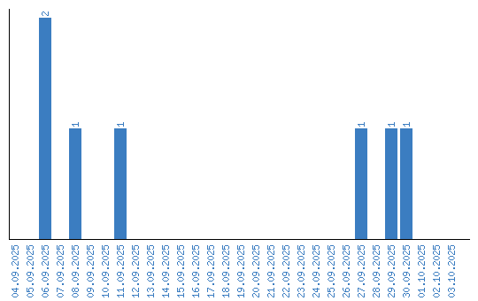
Peržiūrų dinamika pagal dienas