ФотобусАвтобусный транспорт

Информация об изображении

346 КБ


Идентификатор изображения:1294155
Размер файла:346 КБ
Автор:VitalikTTL
Опубликовано:11.02.2015 11:49 MSK
Находится на сайте, дней:4057
Уникальных просмотров:339
Комментариев:1

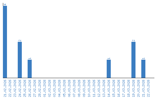
Динамика просмотров по датам