FotobusAutobusová doprava

Statistika obrázku

346 kB


Identifikátor obrázku:1279383
Velikost souboru:346 kB
Autor:gusakyur
Zveřejněno:08.01.2015 00:37 MSK
Nachází se na stránkách (dní):4086
Jednotlivých zhlédnutí:260
Komentářů:0

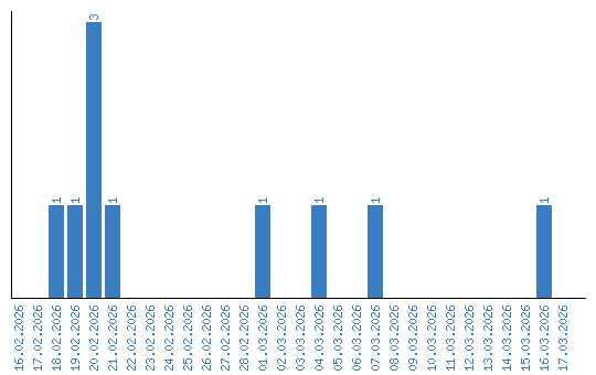
Zhlédnutí po jednotlivých dnech