ФотобусАвтобусный транспорт

Информация об изображении

312 КБ


Идентификатор изображения:1273611
Размер файла:312 КБ
Автор:straightcelle
Опубликовано:28.12.2014 01:47 MSK
Находится на сайте, дней:4024
Уникальных просмотров:434
Комментариев:0

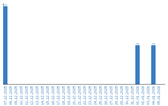
Динамика просмотров по датам