ФотобусАвтобусный транспорт

Информация об изображении

260 КБ


Идентификатор изображения:1268356
Размер файла:260 КБ
Автор:Maksimus
Опубликовано:14.12.2014 19:35 MSK
Находится на сайте, дней:4081
Уникальных просмотров:163
Комментариев:0

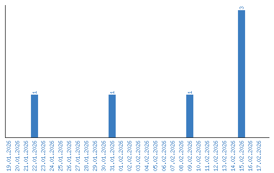
Динамика просмотров по датам