FotobusBusverkehr

Bildinformationen

335 KB


Foto-ID:1257964
Dateigröße:335 KB
Aufgenommen von:Anry KB
Veröffentlicht am:25.11.2014 18:46 MSK
Tage seit Veröffentlichung:4118
Aufrufe:220
Kommentare:0

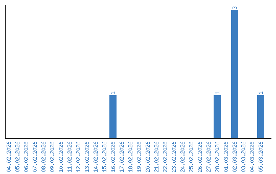
Aufrufestatistik (Tage)