ФотобусАвтобустар галереясы

Информация об изображении

451 КБ


Идентификатор изображения:1249533
Размер файла:451 КБ
Автор:STS
Опубликовано:11.11.2014 01:01 MSK
Находится на сайте, дней:4139
Уникальных просмотров:160
Комментариев:0

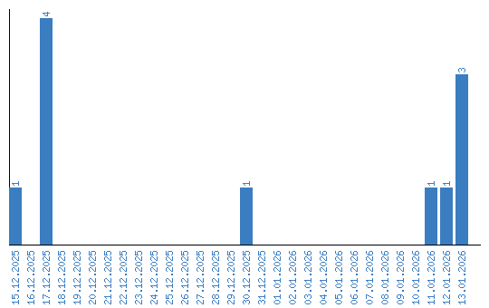
Динамика просмотров по датам