ФотобусАвтобусный транспорт

Информация об изображении

343 КБ


Идентификатор изображения:1239945
Размер файла:343 КБ
Автор:ters
Опубликовано:30.10.2014 21:18 MSK
Находится на сайте, дней:4160
Уникальных просмотров:618
Комментариев:0

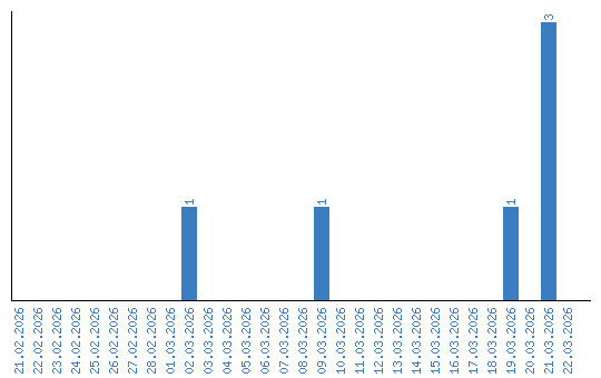
Динамика просмотров по датам