ФотобусАвтобусный транспорт

Информация об изображении

483 КБ


Идентификатор изображения:1234757
Размер файла:483 КБ
Автор:STS
Опубликовано:24.10.2014 11:16 MSK
Находится на сайте, дней:4216
Уникальных просмотров:323
Комментариев:0

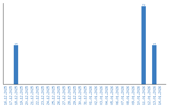
Динамика просмотров по датам