ФотобусАвтобусний транспорт

Статистика по зображенню

349 КБ


Ідентифікатор зображення:1231133
Розмір файлу:349 КБ
Автор:Тихий
Опубліковано:18.10.2014 00:58 MSK
Знаходиться на сайті, днів:4038
Унікальних переглядів:534
Коментарів:0

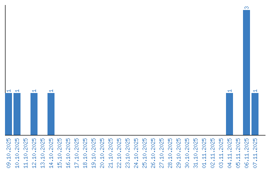
Динаміка переглядів за датами