ФотобусАвтобусный транспорт

Информация об изображении

150 КБ


Идентификатор изображения:12225
Размер файла:150 КБ
Автор:A G
Опубликовано:20.02.2008 22:21 MSK
Находится на сайте, дней:6584
Уникальных просмотров:907
Комментариев:1

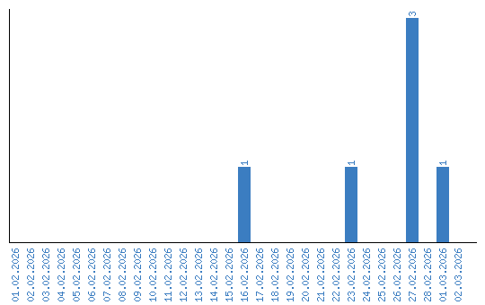
Динамика просмотров по датам