FotobusAutobusų transportas

Nuotraukos informacija

393 KB


Nuotraukos identifikatorius:1220959
Bylos dydis:393 KB
Autorius:Евгений Буюкли
Publikuota:03.10.2014 14:50 MSK
Yra tinklapyje dienų:4056
Unikalių peržiūrų:412
Komentarų:1

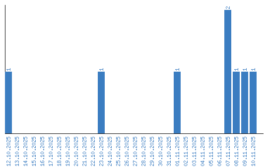
Peržiūrų dinamika pagal dienas