FotobusAutobusų transportas

Nuotraukos informacija

308 KB


Nuotraukos identifikatorius:1219893
Bylos dydis:308 KB
Autorius:Олег
Publikuota:01.10.2014 23:01 MSK
Yra tinklapyje dienų:4068
Unikalių peržiūrų:187
Komentarų:0

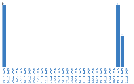
Peržiūrų dinamika pagal dienas