FotobusAutobusová doprava

Statistika obrázku

346 kB


Identifikátor obrázku:1210502
Velikost souboru:346 kB
Autor:Valius Kedainietis
Zveřejněno:21.09.2014 15:23 MSK
Nachází se na stránkách (dní):4194
Jednotlivých zhlédnutí:273
Komentářů:0

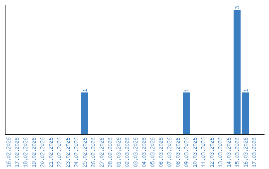
Zhlédnutí po jednotlivých dnech