ФотобусАвтобусный транспорт

Информация об изображении

300 КБ


Идентификатор изображения:1203071
Размер файла:300 КБ
Автор:AlexB
Опубликовано:08.09.2014 23:14 MSK
Находится на сайте, дней:4220
Уникальных просмотров:567
Комментариев:0

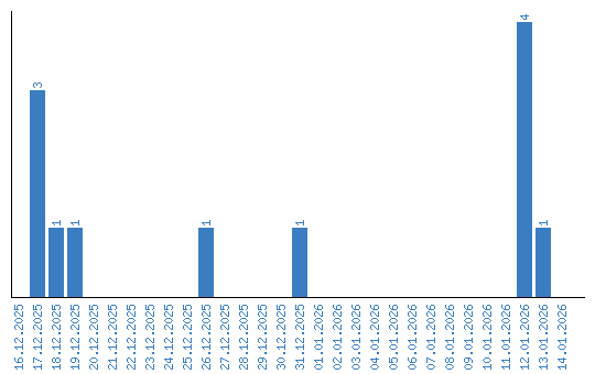
Динамика просмотров по датам