ФотобусАвтобусный транспорт

Информация об изображении

335 КБ


Идентификатор изображения:1200845
Размер файла:335 КБ
Автор:ariss_ka
Опубликовано:06.09.2014 23:20 MSK
Находится на сайте, дней:4211
Уникальных просмотров:547
Комментариев:0

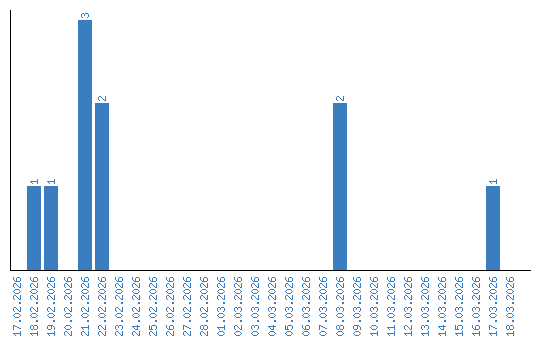
Динамика просмотров по датам