ФотобусАвтобусный транспорт

Информация об изображении

340 КБ


Идентификатор изображения:1196791
Размер файла:340 КБ
Автор:ALX
Опубликовано:30.08.2014 01:14 MSK
Находится на сайте, дней:4092
Уникальных просмотров:241
Комментариев:0

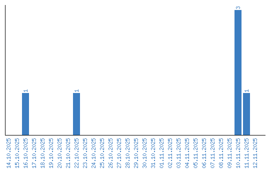
Динамика просмотров по датам