ФотобусАвтобусный транспорт

Информация об изображении

343 КБ


Идентификатор изображения:1179465
Размер файла:343 КБ
Автор:Иван Карташов
Опубликовано:07.08.2014 23:04 MSK
Находится на сайте, дней:4133
Уникальных просмотров:275
Комментариев:1

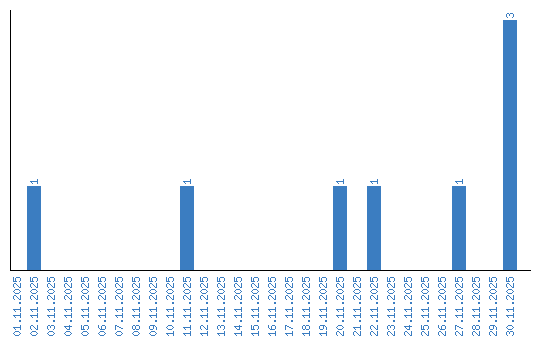
Динамика просмотров по датам