FotobusAutobusų transportas

Nuotraukos informacija

224 KB


Nuotraukos identifikatorius:1167768
Bylos dydis:224 KB
Autorius:Vovcikans
Publikuota:20.07.2014 23:53 MSK
Yra tinklapyje dienų:4265
Unikalių peržiūrų:241
Komentarų:0

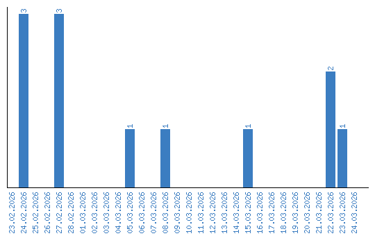
Peržiūrų dinamika pagal dienas