FotobusAutobusa transports

Informācija par attēli

280 KB


Attēla identifikātors:1165564
Faila lielums:280 KB
Autors:Станислав Богомолов
Ir publicēts:18.07.2014 12:20 MSK
Atrodas vietnē, dienās:4117
Unikāli skatījumi:451
Komentārus:0

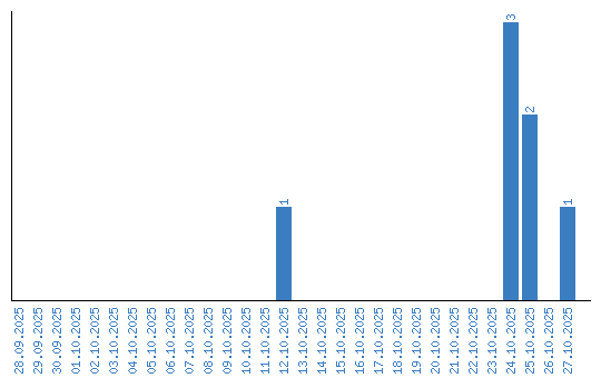
Dinamika skatišana pēc datuma