ФотобусАвтобусный транспорт

Информация об изображении

300 КБ


Идентификатор изображения:1162170
Размер файла:300 КБ
Автор:авиксел
Опубликовано:12.07.2014 21:05 MSK
Находится на сайте, дней:4201
Уникальных просмотров:388
Комментариев:3

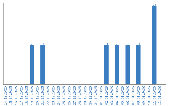
Динамика просмотров по датам