FotobusBuszfotók és járműlisták

Képadatok

343 KB


Képazonosítő:1160553
Kép mérete:343 KB
Készítette:VVN
Publikálás napja:10.07.2014 08:26 MSK
Hány napja látható:4157
Megtekintések:660
Kommentek:13

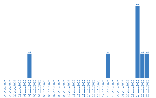
Naponkénti megtekintések