ФотобусАвтобусный транспорт

Информация об изображении

331 КБ


Идентификатор изображения:1143225
Размер файла:331 КБ
Автор:Valius Kedainietis
Опубликовано:14.06.2014 20:17 MSK
Находится на сайте, дней:4348
Уникальных просмотров:167
Комментариев:0

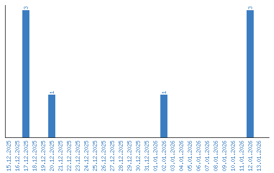
Динамика просмотров по датам