ФотобусАвтобусный транспорт

Информация об изображении

344 КБ


Идентификатор изображения:1142061
Размер файла:344 КБ
Автор:yR29ik
Опубликовано:11.06.2014 21:55 MSK
Находится на сайте, дней:4306
Уникальных просмотров:202
Комментариев:0

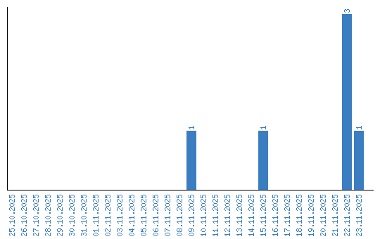
Динамика просмотров по датам