FotobusBusverkehr

Bildinformationen

344 KB


Foto-ID:1131710
Dateigröße:344 KB
Aufgenommen von:maxiWELL
Veröffentlicht am:27.05.2014 17:52 MSK
Tage seit Veröffentlichung:4279
Aufrufe:330
Kommentare:0

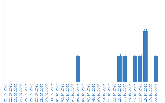
Aufrufestatistik (Tage)