ФотобусАвтобусный транспорт

Информация об изображении

224 КБ


Идентификатор изображения:1122255
Размер файла:224 КБ
Автор:olegp
Опубликовано:12.05.2014 23:10 MSK
Находится на сайте, дней:4331
Уникальных просмотров:281
Комментариев:0

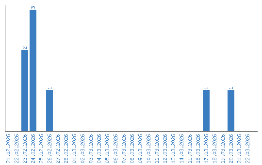
Динамика просмотров по датам