FotobusΜεταφορά με λεωφορείο

Picture Statistics

297 KB


Picture ID:1120605
File Size:297 KB
Συγγραφέας:Александр Разумов
Publication Date:10.05.2014 23:52 MSK
Days in Database:4353
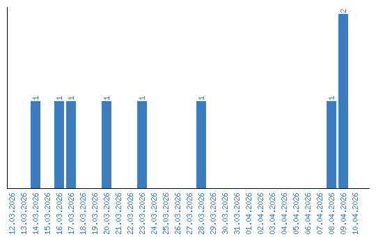
Unique views:412
Comments:1

Viewing statistics by date