ФотобусАвтобустар галереясы

Информация об изображении

238 КБ


Идентификатор изображения:1111222
Размер файла:238 КБ
Автор:Anry KB
Опубликовано:28.04.2014 23:39 MSK
Находится на сайте, дней:4186
Уникальных просмотров:319
Комментариев:0

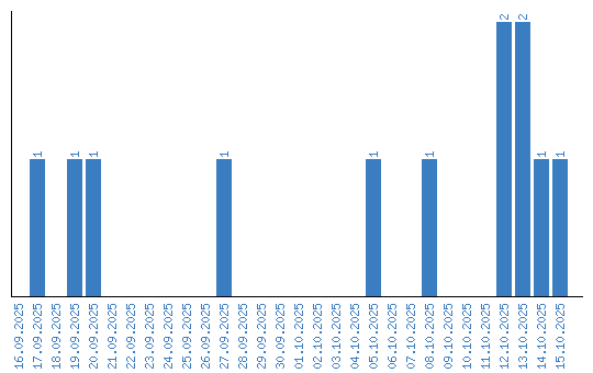
Динамика просмотров по датам