ФотабусАўтобусны транспарт

Iнфармацыя аб малюнку

271 КБ


Ідэнтыфікатар малюнка:1106754
Памер файла:271 КБ
Аўтар:vladislao
Апублікавана:22.04.2014 19:43 MSK
Знаходзіцца на сайце, дзён:4185
Унікальных праглядаў:239
Каментарыяў:0

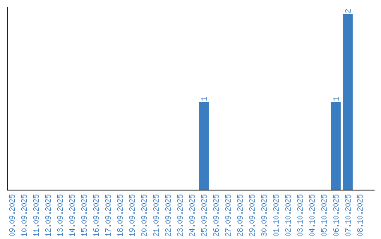
Дынаміка праглядаў па датах