FotobusΜεταφορά με λεωφορείο

Picture Statistics

112 KB


Picture ID:110162
File Size:112 KB
Συγγραφέας:Нисуев Марк
Publication Date:18.05.2009 22:33 MSK
Days in Database:6026
Unique views:216
Comments:0

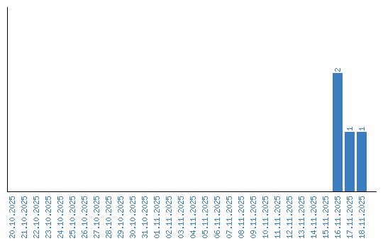
Viewing statistics by date