FotobusAutobusų transportas

Nuotraukos informacija

346 KB


Nuotraukos identifikatorius:1100698
Bylos dydis:346 KB
Autorius:Rai
Publikuota:14.04.2014 23:12 MSK
Yra tinklapyje dienų:4302
Unikalių peržiūrų:287
Komentarų:0

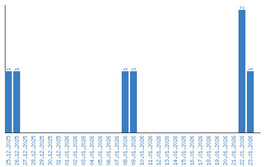
Peržiūrų dinamika pagal dienas