ФотобусАвтобусный транспорт

Информация об изображении

251 КБ


Идентификатор изображения:1098632
Размер файла:251 КБ
Автор:авиксел
Опубликовано:12.04.2014 13:01 MSK
Находится на сайте, дней:4330
Уникальных просмотров:183
Комментариев:0

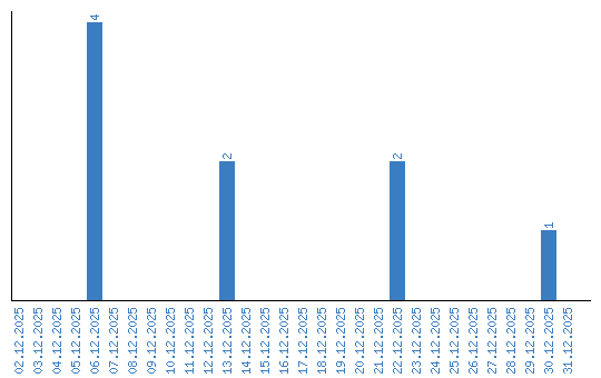
Динамика просмотров по датам