ФотобусАвтобусный транспорт

Информация об изображении

322 КБ


Идентификатор изображения:1091574
Размер файла:322 КБ
Автор:MedveD
Опубликовано:02.04.2014 12:18 MSK
Находится на сайте, дней:4365
Уникальных просмотров:236
Комментариев:0

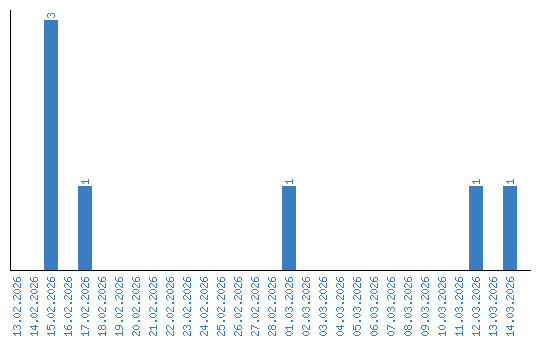
Динамика просмотров по датам