ФотобусАвтобусный транспорт

Информация об изображении

253 КБ


Идентификатор изображения:1089014
Размер файла:253 КБ
Автор:ariss_ka
Опубликовано:30.03.2014 22:41 MSK
Находится на сайте, дней:4363
Уникальных просмотров:395
Комментариев:0

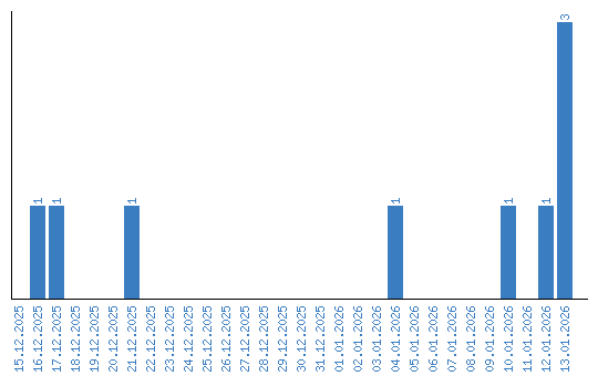
Динамика просмотров по датам