FotobusΜεταφορά με λεωφορείο

Picture Statistics

348 KB


Picture ID:1084938
File Size:348 KB
Συγγραφέας:Vovan38rus
Publication Date:24.03.2014 20:15 MSK
Days in Database:4215
Unique views:154
Comments:0

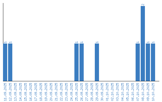
Viewing statistics by date