ФотобусАвтобустар галереясы

Информация об изображении

343 КБ


Идентификатор изображения:1084003
Размер файла:343 КБ
Автор:alex95
Опубликовано:23.03.2014 00:24 MSK
Находится на сайте, дней:4316
Уникальных просмотров:362
Комментариев:0

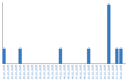
Динамика просмотров по датам