ФотабусАўтобусны транспарт

Iнфармацыя аб малюнку

178 КБ


Ідэнтыфікатар малюнка:1074468
Памер файла:178 КБ
Аўтар:Kimster
Апублікавана:08.03.2014 00:02 MSK
Знаходзіцца на сайце, дзён:4390
Унікальных праглядаў:502
Каментарыяў:2

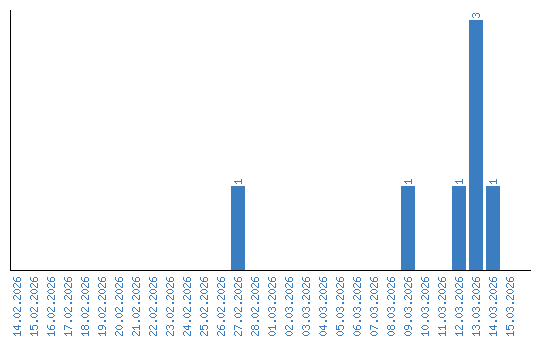
Дынаміка праглядаў па датах