ФотобусАвтобусний транспорт

Статистика по зображенню

344 КБ


Ідентифікатор зображення:1070680
Розмір файлу:344 КБ
Автор:Александров Николай
Опубліковано:02.03.2014 19:01 MSK
Знаходиться на сайті, днів:4283
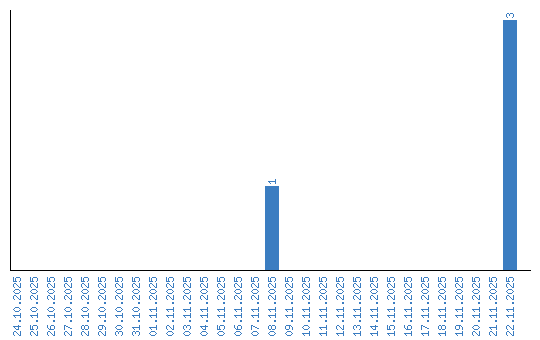
Унікальних переглядів:341
Коментарів:0

Динаміка переглядів за датами