ФотабусАўтобусны транспарт

Iнфармацыя аб малюнку

199 КБ


Ідэнтыфікатар малюнка:1049282
Памер файла:199 КБ
Аўтар:Fons
Апублікавана:20.01.2014 14:05 MSK
Знаходзіцца на сайце, дзён:4469
Унікальных праглядаў:254
Каментарыяў:0

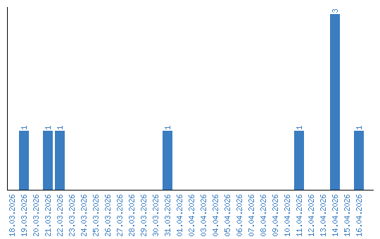
Дынаміка праглядаў па датах