ФотабусАўтобусны транспарт

Iнфармацыя аб малюнку

327 КБ


Ідэнтыфікатар малюнка:1044204
Памер файла:327 КБ
Аўтар:А. Ким
Апублікавана:13.01.2014 08:29 MSK
Знаходзіцца на сайце, дзён:4411
Унікальных праглядаў:267
Каментарыяў:1

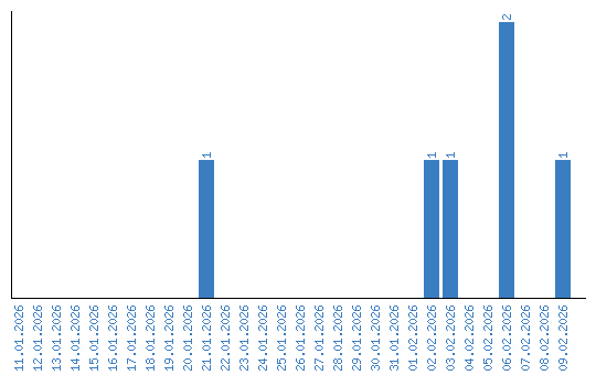
Дынаміка праглядаў па датах