ФотобусАвтобусный транспорт

Информация об изображении

229 КБ


Идентификатор изображения:1033850
Размер файла:229 КБ
Автор:aRa
Опубликовано:23.12.2013 22:13 MSK
Находится на сайте, дней:4485
Уникальных просмотров:262
Комментариев:0

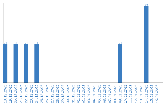
Динамика просмотров по датам